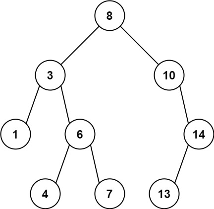
Maximum Difference Between Node and Ancestor
Input: root = [8,3,10,1,6,null,14,null,null,4,7,13]
Output: 7
Explanation: We have various ancestor-node differences, some of which are given below :
|8 - 3| = 5
|3 - 7| = 4
|8 - 1| = 7
|10 - 13| = 3
Among all possible differences, the maximum value of 7 is obtained by |8 - 1| = 7.
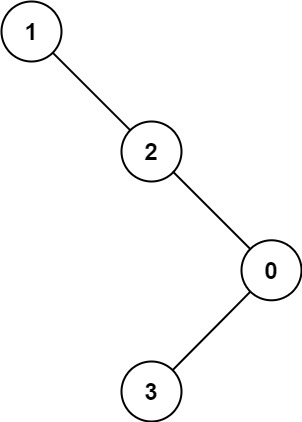
Input: root = [1,null,2,null,0,3]
Output: 3Solutions
π§ Cpp
Last updated

