Binary Tree Postorder Traversal
Given the root of a binary tree, return the postorder traversal of its nodes' values.
Example 1: 
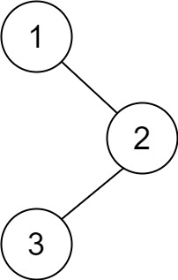
Input: root = [1,null,2,3]
Output: [3,2,1]Example 2:
Input: root = []
Output: []Example 3:
Input: root = [1]
Output: [1]Example 4: 
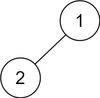
Input: root = [1,2]
Output: [2,1]Example 5: 
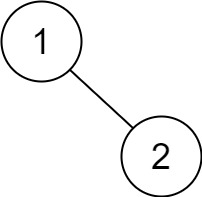
Input: root = [1,null,2]
Output: [2,1]Constraints:
The number of the nodes in the tree is in the range
[0, 100].-100 <= Node.val <= 100
Follow up:
Recursive solution is trivial, could you do it iteratively?
Solutions
π§ Cpp
/**
* Definition for a binary tree node.
* struct TreeNode {
* int val;
* TreeNode *left;
* TreeNode *right;
* TreeNode(int x) : val(x), left(NULL), right(NULL) {}
* };
*/
class Solution {
public:
vector<int> postorderTraversal(TreeNode* root)
{
vector<int> res;
if(!root)
return res;
if(root->left)
{
vector<int> &&tres = postorderTraversal(root->left);
res.insert(res.end(), tres.begin(), tres.end());
}
if(root->right)
{
vector<int> &&tres = postorderTraversal(root->right);
res.insert(res.end(), tres.begin(), tres.end());
}
res.emplace_back(root->val);
return res;
}
};Last updated
Was this helpful?