Maximum Depth of Binary Tree
Given the root of a binary tree, return its maximum depth.
A binary tree's maximum depth is the number of nodes along the longest path from the root node down to the farthest leaf node.
Example 1: 
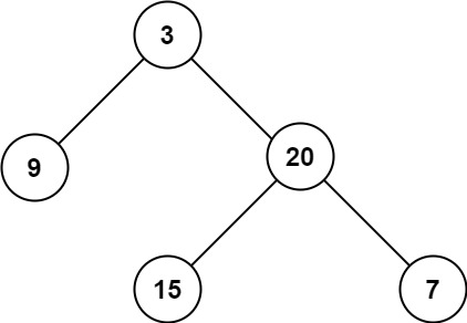
Input: root = [3,9,20,null,null,15,7]
Output: 3Example 2:
Input: root = [1,null,2]
Output: 2Example 3:
Input: root = []
Output: 0Example 4:
Input: root = [0]
Output: 1Constraints:
The number of nodes in the tree is in the range
[0, 104].-100 <= Node.val <= 100
Solutions
๐ง Cpp
/**
* Definition for a binary tree node.
* struct TreeNode {
* int val;
* TreeNode *left;
* TreeNode *right;
* TreeNode() : val(0), left(nullptr), right(nullptr) {}
* TreeNode(int x) : val(x), left(nullptr), right(nullptr) {}
* TreeNode(int x, TreeNode *left, TreeNode *right) : val(x), left(left), right(right) {}
* };
*/
class Solution {
public:
int maxDepth(TreeNode* root)
{
if(!root)
return 0;
return 1 + max(maxDepth(root->left), maxDepth(root->right));
}
};Last updated
Was this helpful?