Recover Binary Search Tree
You are given the root of a binary search tree (BST), where exactly two nodes of the tree were swapped by mistake. Recover the tree without changing its structure.
Follow up: A solution using O(n) space is pretty straight forward. Could you devise a constant space solution?
Example 1: 
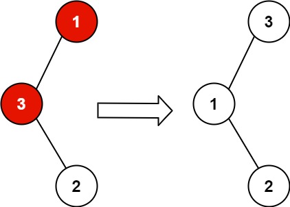
Input: root = [1,3,null,null,2]
Output: [3,1,null,null,2]
Explanation: 3 cannot be a left child of 1 because 3 > 1. Swapping 1 and 3 makes the BST valid.Example 2: 
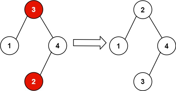
Input: root = [3,1,4,null,null,2]
Output: [2,1,4,null,null,3]
Explanation: 2 cannot be in the right subtree of 3 because 2 < 3. Swapping 2 and 3 makes the BST valid.Constraints:
The number of nodes in the tree is in the range
[2, 1000].-231 <= Node.val <= 231 - 1
Solutions
🧠 Cpp
/**
* Definition for a binary tree node.
* struct TreeNode {
* int val;
* TreeNode *left;
* TreeNode *right;
* TreeNode() : val(0), left(nullptr), right(nullptr) {}
* TreeNode(int x) : val(x), left(nullptr), right(nullptr) {}
* TreeNode(int x, TreeNode *left, TreeNode *right) : val(x), left(left), right(right) {}
* };
*/
class Solution
{
TreeNode* find_X_then_value(TreeNode *root, int val, function<bool(int,int)> X)
{
if(!root)
return nullptr;
int val_to_check = val;
if(X(root->val, val))
val_to_check = root->val;
TreeNode *res_left = find_X_then_value(root->left, val_to_check, X),
*res_right = find_X_then_value(root->right, val_to_check, X);
if(res_left && res_right)
return X(res_left->val, res_right->val) ? res_left :res_right;
else if(res_left)
return res_left;
else if(res_right)
return res_right;
else if(X(root->val, val))
return root;
return nullptr;
}
public:
void recoverTree(TreeNode* root)
{
if(!root)
return;
TreeNode *misplaced_left = find_X_then_value(root->left, root->val, std::greater<int>()),
*misplaced_right = find_X_then_value(root->right, root->val, std::less<int>());
if(misplaced_left && misplaced_right)
std::swap(misplaced_left->val, misplaced_right->val);
else if(misplaced_left)
std::swap(root->val, misplaced_left->val);
else if(misplaced_right)
std::swap(root->val, misplaced_right->val);
else
{
recoverTree(root->left);
recoverTree(root->right);
}
}
};Last updated
Was this helpful?